澳门金沙娱乐城app

当前位置: 网站澳门金沙娱乐城app >> 通知公告 >> 正文

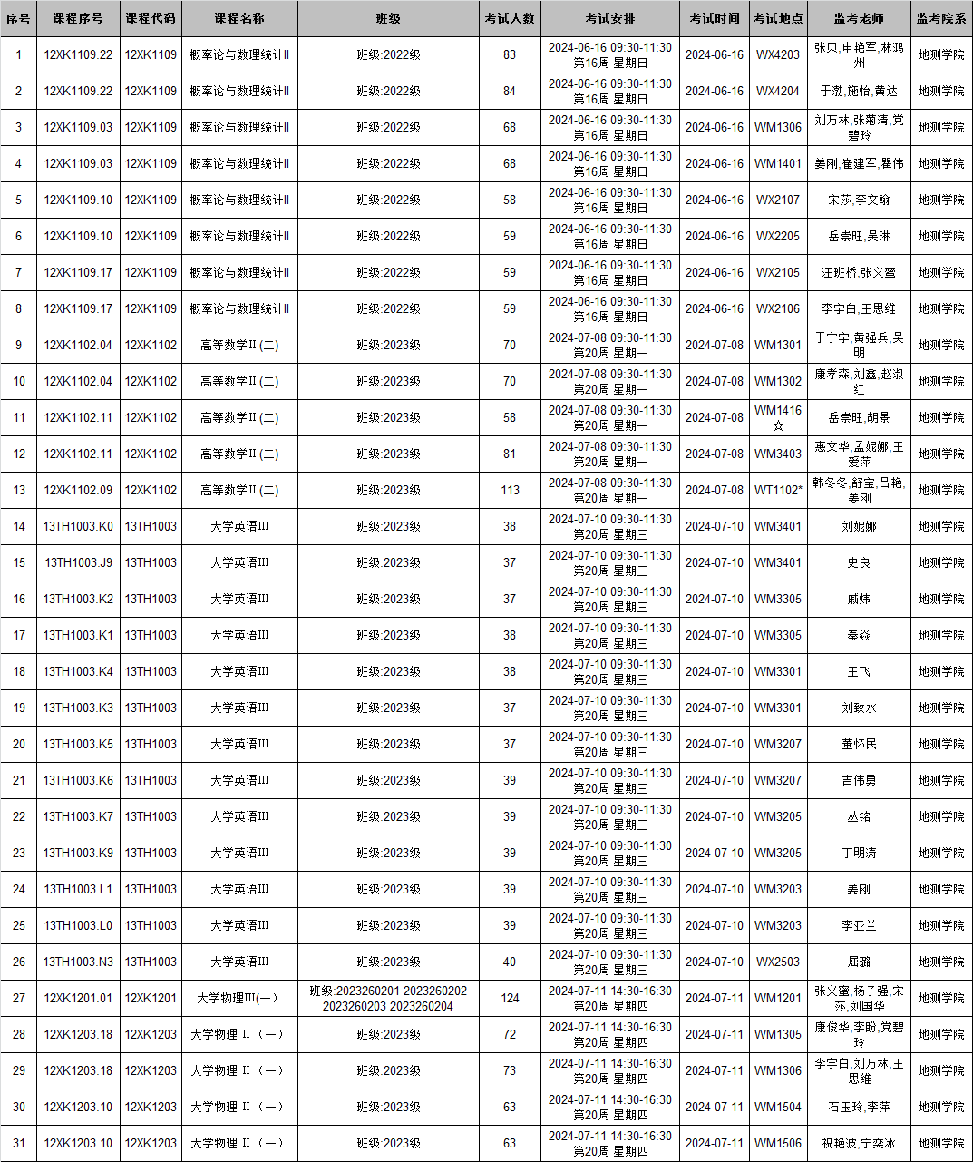
【23-24-2学期监考安排(本科)⑤】公共课期末考试周考试、概率论与数理统计-考试及监考安排-2024.5.29日发布

作者:教务办 来源: 发布时间:2024-05-29 阅读量:

    本学期公共课期末考试周考试、概率论与数理统计期末考试监考安排已发布,监考安排澳门金沙娱乐城app 已经在本科教务系统中填报完成(监考教师可同时在本科教务系统中查看监考安排)。为确保考试平稳顺利进行,澳门金沙娱乐城app 已将相关监考工作安排表格上传到附件中,请各位老师及时下载查阅,并按时完成监考工作。







上一条:澳门金沙娱乐城app 2024年春季研究生学位论文集中答辩公示(一) 下一条:澳门金沙娱乐城app 2024年博士研究生复试安排